Annonce

Réduire
Aucune annonce.

Le CT des suspensions comment ça marche?

Réduire
X
 
  • Filtre
  • Heure
  • Afficher
Tout nettoyer
nouveaux messages

  • Le CT des suspensions comment ça marche?

    Beaucoup d'entre vous amènent certainement leur véhicule au CT et regardent le passage au banc de freinage et suspension sans comprendre ce qu'il s'y passe vraiment!

    Je vais essayer de vous expliquer en quoi consiste cette mesure, quelles sont les normes, a quoi il faut faire attention quand le contrôleur passe votre véhicule...
    + de Z dans le sud!!!
    Localité: 34 "Hérault" Canet "à côté de Montpellier"
    260Z 2+2 janspeed turbo 1977 (en restauration)
    1/2 240Z GR4 en fin de restauration
    280ZXG 2+2 1981 kit G NOSE

    Un team JanspeedZ de trois petits mécanos de course!
    10ans, 7ans et 4ans...

  • #2
    Mesure du ripage

    Tout d'abord toute mesure faite doit être commencé par un contrôle de la pression des pneus du véhicules!!!

    Vous remarquerez qu'il a un manomètre à l'entrée du CT et c'est pas pour rien!
    Mais vous verrez malheureusement rarement le contrôleur l'utiliser
    Pourtant c'est une étape obligatoire et imposé par le service des mines qui a définit le protocole et la méthode des contrôles

    Devant le banc de suspension on a ce qu'on appel une plaque de ripage...

    Elle sert a mesurer la dérive de trajectoire qu'a le véhicule.

    La valeur est exprimé en m / km

    Par exemple si mon véhicule à une dérive de 9 m par km cela veut dire que si vous rouliez 1 km en bloquant la direction votre véhicule aura dérivé de 9m par rapport à sa trajectoire initiale ou parfaite!

    Le contrôleur donne de l'élant et passe le véhicule en roue libre sur la plaque sans tourner le volant....

    c'est mesure est assez influencée par la méthode de passage (élant, action sur les freins ou le volant) donc peu fiable....

    L'origine du ripage pourra être: un défaut de géométrie (parallélisme ou chasse carrossage), des jeux dans les trains, un gonflage dissymétrique...)
    + de Z dans le sud!!!
    Localité: 34 "Hérault" Canet "à côté de Montpellier"
    260Z 2+2 janspeed turbo 1977 (en restauration)
    1/2 240Z GR4 en fin de restauration
    280ZXG 2+2 1981 kit G NOSE

    Un team JanspeedZ de trois petits mécanos de course!
    10ans, 7ans et 4ans...

    Commentaire


    • #3
      Le banc de suspension

      Attention ce test contrôle toute la suspension! L'origine du problème peu donc ne pas venir de l'amortisseur en lui même

      (parfois je fais des défauts pour mes élèves en dévissant le palier élastique qui tient l'amortisseur à la carrosserie, ou une fixation d'un amortisseur....)

      Le contrôleur doit présenter le véhicule bien dans l'axe du banc et bien centré (cela à une influence sur le résulat)
      la pression des pneus devra avoir été contrôlé et ajusté aux préconisation constructeur...

      Bien sûr si j'ai un pneu à 1 bar et l'autre A 2,5 bar je vais créer un déséquilibre de comportement, car le pneus sous-gonflé va absorber une partie du mouvement

      L'opérateur place le véhicule sur les balances de mesures, le banc prend le poids du véhicule, puis lance roue par roue le test

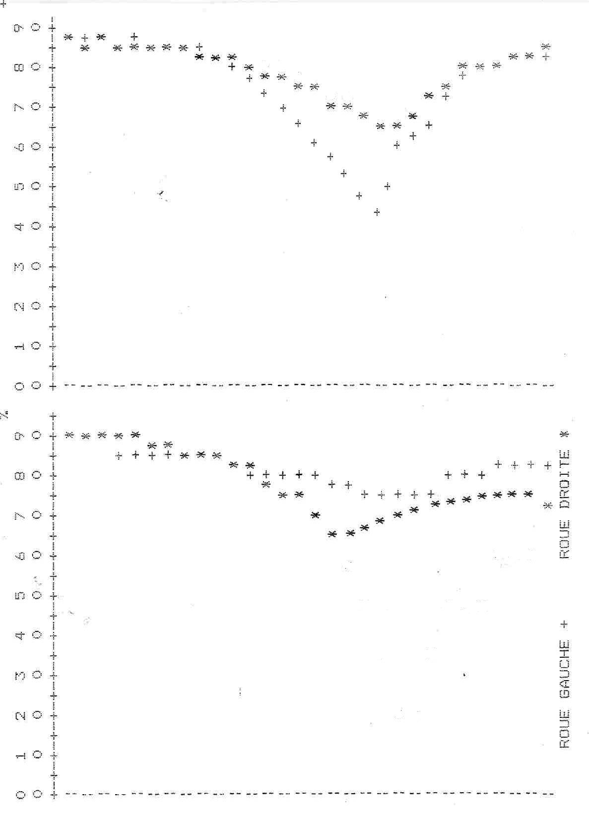
      La plaque va produire des mouvements d’amplitude variable et de fréquence allant de 25hz à 0hz

      Le résultat va s'affiché à la fin du mouvement de chaque plaque et une courbe est tracée pendant le test

      Idem pour le train ar (je précise au passage que lorsque le véhicule va avancer il va passer en roue libre sur la plaque de ripage pour mesurer le train ar..)

      Vis à vis du CT, le contrôleur ne regarde par le profil des courbes et c'est bien dommage...
      Il regarde deux valeurs:
      L'efficacité moyenne de la suspension: elle devra être > à 30%
      autant dire qu'en dessous de 50% vous avez des pompes à vélo
      une bonne mesure étant entre 60 et 80%
      on atteint jamais 100%


      La différence d'efficacité entre les amortisseurs G et D ou dissymétrie ne devra pas être supérieure à 30%

      l'affichage des courbes pourra représenter soit:
      La réponse en fréquence (courbe d'efficacité en %) photo 1
      soit la variation de déplacement "là ou la courbe à des oscillations larges c'est que l'efficacité est minimum" photo 2
      Fichiers attachés
      + de Z dans le sud!!!
      Localité: 34 "Hérault" Canet "à côté de Montpellier"
      260Z 2+2 janspeed turbo 1977 (en restauration)
      1/2 240Z GR4 en fin de restauration
      280ZXG 2+2 1981 kit G NOSE

      Un team JanspeedZ de trois petits mécanos de course!
      10ans, 7ans et 4ans...

      Commentaire


      • #4
        Pour avoir tous les détails je vous met en pièce jointe le cours que je donne aux élèves de bac

        Je suis là pour répondre à vos questions si besoin

        et voici la vidéo du passage de la Nissan 280ZX que j'ai en révision en ce moment...
        <object width="425" height="344"><param name="movie" value="http://www.youtube.com/v/jrZjbGnS1Ko?hl=fr&fs=1"></param><param name="allowFullScreen" value="true"></param><param name="allowscriptaccess" value="always"></param><embed src="http://www.youtube.com/v/jrZjbGnS1Ko?hl=fr&fs=1" type="application/x-shockwave-flash" allowscriptaccess="always" allowfullscreen="true" width="425" height="344"></embed></object>

        Le client pensait changer ses amortisseurs ar mais ce sont les av qui sont morts (enfin surtout le Droit)
        Fichiers attachés
        + de Z dans le sud!!!
        Localité: 34 "Hérault" Canet "à côté de Montpellier"
        260Z 2+2 janspeed turbo 1977 (en restauration)
        1/2 240Z GR4 en fin de restauration
        280ZXG 2+2 1981 kit G NOSE

        Un team JanspeedZ de trois petits mécanos de course!
        10ans, 7ans et 4ans...

        Commentaire


        • #5
          voici le lien car je vois que l'incrustation ne semble pas marcher
          http://www.youtube.com/watch?v=jrZjbGnS1Ko
          + de Z dans le sud!!!
          Localité: 34 "Hérault" Canet "à côté de Montpellier"
          260Z 2+2 janspeed turbo 1977 (en restauration)
          1/2 240Z GR4 en fin de restauration
          280ZXG 2+2 1981 kit G NOSE

          Un team JanspeedZ de trois petits mécanos de course!
          10ans, 7ans et 4ans...

          Commentaire


          • #6
            et voici pour le passage des suspensions ar
            http://www.youtube.com/watch?v=EJ7lwMLgSAk
            + de Z dans le sud!!!
            Localité: 34 "Hérault" Canet "à côté de Montpellier"
            260Z 2+2 janspeed turbo 1977 (en restauration)
            1/2 240Z GR4 en fin de restauration
            280ZXG 2+2 1981 kit G NOSE

            Un team JanspeedZ de trois petits mécanos de course!
            10ans, 7ans et 4ans...

            Commentaire


            • #7
              On voit bien que pour la roue avg (en bleu dans la première vidéo) le mouvement est bien amorti quel que soit la fréquence et l'amplitude
              c'est donc un amortisseur en bon état qui réagit de manière uniforme et constante
              donc sans surprises sur la route

              Le droit en rouge amorti pas trop mal au début mais arrivé à une certaine fréquence (en générale la fréquence ou le ressort rentre aussi en résonance...) il n'amorti plus les déplacement, c'est même perceptible au bruit on entend la roue qui rebondit sur le plateau....

              cela veut dire que suivant la fréquence d'amortissement qu'impose la roue (qualité du revêtement, vitesse du véhicule) si vous êtes dans cette fréquence votre roue touche plus trop le sol!!!

              Donc en cas de freinage....augmentation des distances d'arrêt et risque de blocage
              en virage pompage de la suspension et mauvais guidage
              aussi vibrations perceptibles dans le volant
              + de Z dans le sud!!!
              Localité: 34 "Hérault" Canet "à côté de Montpellier"
              260Z 2+2 janspeed turbo 1977 (en restauration)
              1/2 240Z GR4 en fin de restauration
              280ZXG 2+2 1981 kit G NOSE

              Un team JanspeedZ de trois petits mécanos de course!
              10ans, 7ans et 4ans...

              Commentaire


              • #8
                Super sujet, bravo!
                Mathieu - 72' 240z qui va bien!

                Commentaire


                • #9
                  Beau sujet, merci beaucoup!
                  Moi:
                  Datsun 260Z 2+2 1976 rouge peugeot 405 MI16
                  Datsun 180B 1977 Grise

                  Commentaire


                  • #10
                    Ce soir, je dors moins c-n !
                    Merci beaucoup...

                    Je suis preneur d'autres cours à l'identique
                    Elle est pas belle la vie ?

                    Commentaire


                    • #11
                      Prochaine fois je vous fait le banc de freinage...
                      + de Z dans le sud!!!
                      Localité: 34 "Hérault" Canet "à côté de Montpellier"
                      260Z 2+2 janspeed turbo 1977 (en restauration)
                      1/2 240Z GR4 en fin de restauration
                      280ZXG 2+2 1981 kit G NOSE

                      Un team JanspeedZ de trois petits mécanos de course!
                      10ans, 7ans et 4ans...

                      Commentaire


                      • #12
                        Merci Bien.

                        MRS

                        Commentaire

                        Chargement...
                        X